数字图像处理
绪论
图像与图形
- 图像:经过相机或摄像机或其他成像装置对实际场景或物体进行捕捉、记录在介质上、反映物体对应点反(发)射光的光强光谱特性的画面,称为图像。
- 图形:是指由外部轮廓线条构成的矢量图。即由计算机绘制的直线、圆、矩形、曲线、图表等。实际世界中不存在
数据描述方式:
- 图像: 用数字任意描述像素点、强度和颜色。所描述对象在缩放过程中会损失细节或产生锯齿
- 图形: 用一组指令集合来描述图形的内容,如描述构成该图的各种图元位置维数、形状等。描述对象可任意缩放不会失真
图像的分类
按储存介质:
- 模拟图像:在二维坐标系中连续变化(指从时间上和从数值上是不间断的)的图像,即图像的像点是无限稠密的,同时具有亮度值。不能使用电子设备进行传输
- 数字图像:由模拟图像数字化或离散化得到。可用数字计算机和数字电路保存、传输
数字图像基本特点:
- 数字图像可以长期保存、永不失真
- 可以充分利用现代的数字通信传输技术
- 数字图像的数据量随图像分辨率或图像清晰度增加而增大
图像处理
模拟图像处理
优点:处理速度快且能够并行作业。从理论上讲,模拟图像处理的速度可达光速
缺点:是精度低,灵活性差,基本上无判断功能和非线性处理功能
数字图像处理
优点:精度高、处理内容丰富、可进行复杂的非线性处理等优点,所以具有非常灵活的变通能力。可以用软件,也可以用硬件实现 缺点:处理速度慢
数字图像处理的三个层次

数字图像基础
人类视觉感知与光谱
光接受细胞
- 锥细胞:适亮视觉,高密度,独立神经元
- 柱细胞:夜视觉,低密度,无独立神经元
人眼感知
亮适应现象:人眼只能在同一时间内适应一个小的亮度变化范围(
等级) 
马赫带效应:基于视觉系统有趋于过高或过低估计不同亮度区域边界值的现象

同时对比度:基于人眼对某个区域感觉到的亮度并不仅仅依赖于它的强度

光描述
- 辐射:从光源流出的总能量,单位为瓦特(W)
- 光通量:观察者从光源感知的能量,单位是流明(lm)
图像感知和采样量化
图像反射成像模型
采样量化
图像采样:将图像上连续坐标离散化的过程
图像上像素总数称为图像大小。
(香农)采样定理:为了不失真地恢复模拟信号,采样频率应该不小于模拟信号频谱中最高频率的2倍。即
。 图像量化:将图像上采样点(区域)灰度值数字化
亮度被量化为
个灰度级, 对应最黑, 级对应于白。出于存储和量化硬件的考虑,一般的 ,取决于A/D转换器精度;对应的图像为 位灰度图
动态范围:灰度跨越的值域。图像系统的动态范围定义为系统中最大可度量灰度与最小可检测灰度之比。上限取决于“饱和度”,下限取决于噪声
数字图像数学表示与显示
注意点:数字图像矩阵常用I(u,v), f(u,v), I(i,j),I(x,y), I(c, r)表示(列在前,行在后)
下图左边为图像矩阵,右边为数值矩阵

空间域:由图像的坐标张成的实平面部分
空间分辨率
- 空间分辨率:图像中最小可辨别细节的测度。
LP/mm:单位距离的可识别的线对数。如50LP/mm,每mm长度中可识别50对或100条黑白相间线
dpi:每英寸单位距离内的点(像素)数
灰度分辨率
- 灰度分辨率:灰度级中可辨别的最小变化。通常是指量化灰度时所用的比特数
L 减少,灰度分辨率降低,出现假轮廓现象,图像质量变差
图像占内存字节数
采样量化关系
- 图像质量一般随M,N和K的增加而增加。在极少情况减少K能改进图像质量,因为增加了图像的反差
- 对细节丰富图像常只需要很少的灰度级数就可较好地表示(细节越多曲线越垂直)

图像数据结构与储存
内存图像
变量或指针索引,图像头和图像体可以分开存放;少量图像,数据体经常不压缩,便于处理和显示
硬盘图像
文件名索引,图像头和图像体需要连续存放;存储大量图像(尤其视频),图像经常需要压缩
位图文件
数据头:图像描述信息
数据体:图像数据
BMP(Bitmap-File):
设备相关位图DDB(device-dependent bitmap)
设备无关位图DIB(device-independent bitmap)
文件格式
位图文件头:有54个字节长,它给出文件的类型、大小和位图的起始位置等
位图信息头:给出图像的长、宽和每个像素的位数(1,4,8,24)、压缩方法、目标设备的水平和垂直分辨率。
调色板:给出图像索引对应的颜色值(灰度值)
注意点:有些位图不需要调色板,如真彩色图,它们的位图信息头后面直接是位图数据
图像数据体
- 2色位图:1比特位表示一个像素颜色, 所以一个字节表示8个像素
- 16色位图:4比特位表示一个像素颜色, 所以一个字节表示2个像素
- 256色位图:1个字节表示1个像素
- 真彩色图:3个字节表示1个像素
图像质量评价方法

主观评价
注意点:参加评价的观察者应该足够多,以保证在统计上有意义
- 绝对评价:标准图像作参考
- 相对评价:无参考图像,好到坏分类,比较
客观评价
全参考(标准图像作参考)
无参考(也称为盲评价方法)
像素间基本关系
邻域:对于任意像素

- 4邻域像素
:蓝色部分 - D邻域像素
:黄色部分 - 8邻域像素
邻接:如果任意两个像素相互存在于对方的邻域中,其灰度值同属于灰度值集合V,则这两个像素相邻接
4-邻接
8-邻接
M-邻接(混合邻接:即4连通和D连通的混合连通):
1.
在 集 合 中 , 或 2.
在 集 合 中 , 并 且 与 的 交 集 中 像 素 取 值 不 属 于

通路:从具有坐标
连通:若在图像的像素子集
区域:令R表示图像中一个像素子集。若R是一个连通集,则称R为图像的一个区域
邻接区域:如果两个区域的联合形成一个连通集,则两区域为邻接区域
边界(也称边框或轮廓):R中与R的补集中的像素相邻的一组像素

距离的度量:
- 欧式距离
: - 城市街区距离
: - 棋盘距离
:

灰度插值

最近邻

双线性

三次样条
图像增强
基于图像域的方法:直接在图像所在的空间进行处理
基于变换域的方法:图像变换域间接进行处理
空间域处理:
点运算:当
点处理方法

线性点运算
完全线性:
亮 度 调 整 : 对 比 度 调 整 : 同 时 调 整 : 分段线性:
对 比 度 拉 伸 处 理 : 阈 值 处 理 : 负片(图像反转):
非线性点运算
对数变换:将过窄或过宽的动态范围变换为合适动态范围

幂次变换:将过窄或过宽的动态范围变换为合适动态范围
提 高 亮 度 , 降 低 对 比 度 ; 降 低 亮 度 , 提 高 对 比 度 
灰度级分层(灰度切片):
- 感兴趣范围灰度值置“1”,其它置“0”
- 感兴趣范围灰度变亮或变暗,其他保持不变

比特平面分层(位平面切片):像素是由比特组成的数字。256灰度级图像,像素的灰度为8比特。一幅8比特图像由8个1比特平面组成。其中,位平面0包含图像中像素的最低位,位平面7包含像素的最高位

图像相加(平均)去噪声


直方图处理
直方图定义
灰度级范围为[0, L-1]的数字图像
- 灰度级直方图:
- 归一化直方图:
- 累积直方图:
直方图性质
- 只反映各个灰度级出现次数,不反映像素位置,不反映图像内容
- 一个直方图不只对应一幅图像
- 一幅图像可分为多个子区,多个子区直方图之和等于对应的全图直方图
直方图均衡
于是有
定义变换函数: 
在此变换下,
对于离散像素有

直方图匹配(规定化)
总思路:要将
例:
![]() |
![]() |
|---|
计算
的均衡化后分布、 

通过
对应的 找最接近的 , 对应的 就是 所对应的
空间滤波基础
模板运算:如果变换
空间卷积和空间相关
一维信号相关
一维函数
离散单位冲激:只包含一个1,其余全为0的函数
滤波器
一维信号卷积
一维函数
滤波器
二维信号的相关与卷积
二维函数
图像处理中,不刻意区分“相关”与“卷积”的差别,仅指一种“滑动乘积求和处理”
平滑滤波器
均值滤波器 (均值平滑滤波器)
- 减少噪声
- 引起边缘模糊
加权均值滤波器
低通高斯滤波器
- 唯一可分离的圆对称滤波器(各向同性)
——控制“钟”形开口大小,高斯核实际大小为6 *6 。超过该大小的窗口,除了增加运算量,对结果几无影响- 高斯函数的乘积和卷积仍是高斯函数
越大,高斯函数越宽,滤波后图像越平滑,细节损失越多。
统计排序(非线性)滤波器
- 最大值滤波器
- 最小值滤波器
- 中值滤波器:在去除噪音的同时(特别是脉冲噪声,即椒盐噪声),可以比较好地保留边的锐度和图像的细节(优于均值滤波器)
锐化滤波器
离散函数微分定义
一维离散函数一阶微分定义
一维离散函数二阶微分定义
一阶微分滤波器
梯度的幅值
梯度算子
Roberts交叉梯度算子

Sobel梯度算子

二阶微分滤波器

非锐化掩蔽和高提升滤波

混合空间增强
- 一方面用拉普拉斯突出图像的细节
- 另一方面用一阶梯度算子滤波,平滑后形成模板
- 两方面结合,拉普拉斯图像与平滑后梯度图像乘积,增强边缘、降低噪声
- 结果叠加至原图
- 幂次变换,扩大动态范围
频域滤波
空间域:图像是二维信号,其坐标轴是二维空间坐标轴,所以图像本身所在的域称为空间域
空间频率:图像灰度值随空间坐标变化的快慢
基础概念
冲激串
- 冲激串的傅里叶变换仍为冲激串,周期变为
取样后函数傅里叶变换

Nyquist频率:完全等于最高频率2倍的取样率
取样定理:如果以超过Nyquist频率的取样率来得到样本,那么由样本就可以完全复原原函数
带限信号取样重建函数
在整数倍位置等于样本值;样本点之间由无限
单变量的离散傅里叶变换
引出:带限信号取样重建函数要求
取样值定义:
构成傅里叶变换对:
这里的
有周期性:
取样和频率间隔间的关系:
二维傅立叶变换
图像混淆
因为图像函数不可能在
- 时间混淆
- 空间混淆
二维离散傅里叶变换的性质
空间和频率间隔关系:
平移特性:
旋转特性:
周期性:
共轭对称性:
傅立叶频谱和相角: 
平移谱不变,旋转谱同步

平移相角变,旋转相角小同步

相角体现形状,频谱体现灰度

二维离散卷积定理:
注意点:缠绕错误

频域滤波基础
- 频域滤波基本过程
- 频域滤波基本思想

低通滤波器:衰减高频、通过低频:模糊图像
高通滤波器:通过高频、衰减低频:锐化图像,但消去了直流分量图像变暗
加了“常数”的高通滤波器:锐化图像的同时保留色调
- 零相移滤波器

相角的轻微变化,滤波后会引起图像灰度分布很大的改变,不影响相位的滤波器称为零相移滤波器
- 0填充影响
未填充与填充:


滤波器填充振铃效应:

- 频域滤波步骤

1.
2.
3.计算DFT,得到
4.设计实对称滤波器
5.进行频域滤波
6.得到处理后图像
7.裁剪左上象限
- 空域与频域滤波之间的对应关系


频域平滑滤波
理想低通滤波器(ILPF)

ILPF的模糊与振铃

高斯低通滤波器(GLPF)

- GLPF的反变换也是高斯函数。GLPF的IDFT得到的高斯空间滤波器没有振铃现象
巴特沃斯低通滤波器(BLPF)

趋于无穷时等价于理想低通滤波器
BLPF的振铃

频域锐化滤波
- 高通滤波器的空间核中心会存在一“亮点”,该“中心亮点”与
与 转换时的“1”有关

- 高通滤波器比较

频域拉普拉斯算子
在空域上:
钝化掩蔽、高提升滤波和高频强调滤波
钝化掩蔽、高提升滤波:
高频强调滤波:

同态滤波


- 压缩动态范围,提高各部分对比度
选择性滤波
仅对特定频带或特定矩形区域频率进行阻止或通过的滤波器

频带滤波器

陷波滤波器

彩色图像增强
彩色基础
光的三原色:由三种颜色通过不同的占比实现不同的颜色
二次色或补色:三原色相加产生光的二次色,也可以看作三种补色(从白色中除去某种颜色)的迭加
色调:混合光波中与主波长相关的属性,表示被观察者感知的主导色,比如红色、黄色等
饱和度:相对纯度,或与一种色调混合的白光量。如深红色是红色加白光,是不饱和的。饱和度与所加的白光量成反比
亮度:去除颜色考量的发光强度
色度:色调与饱和度统称,颜色由色度和亮度表征
三色值:形成任何一种特殊颜色的红色量、绿色量和蓝色量称为三色值
三色值系数:如
彩色模型
也称彩色空间或彩色系统。本质上规定:
- 坐标系
- 坐标系内的子空间,模型内的每种颜色可由子空间内一点表示
RGB 彩色空间


CMYK彩色空间

HSI彩色空间

- RGB->HSI

- HSI->RGB

伪彩色图像处理
根据一定的准则对灰度值赋以彩色的处理——以灰度图像为处理对象
强度分层技术
把一幅图像描述为三维函数(x, y, f(x,y)) 分层技术:放置平行于(x,y)坐标面的平面,每一个平面在相交区域切割图像函数

灰度级彩色变换
对任何输入像素的灰度级执行3个独立变换。3个变换结果分别送入彩色监视器的红、绿、 蓝三个通道产生一幅合成图像

彩色图像处理
全彩色图像处理

彩色图像增强
假彩色(False Color)增强
从彩色到假彩色的一种转换
目的:
- 引起人们的特别关注
- 人眼对不同颜色的灵敏度不同
方法一:矢量变换或线性变换

方法二:将RGB三通道独立处理,每个通道当作一个灰度图像进行增强处理,处理完后再合成彩色图像显示

方法三:将图像转换到HSI空间,对亮度通道进行滤波增强后,再和色度合成成新图像转换回RGB空间

补色

彩色分层
突出图像中某个特定的彩色范围
色调和色彩校正
- 色调变换

- 彩色平衡

直方图均衡化

彩色图像平滑与锐化
注意点:RGB空间是3个通道都进行平滑锐化,HIS空间只对I通道平滑锐化,保持色调和饱和度


运动图像复原
图像复原技术概述
图像退化:图像在形成、记录、传输等过程中,受到影响,使图像质量下降
引起图像退化的原因:图像失真,几何失真,运动模糊,灰度失真,辐射失真,噪声
图像复原与图像增强的关系:图像增强技术追求好的视觉结果,不考虑退化原因以及增强后图像是否失真;图像复原技术忠实于原图像。因此必须根据一定的图像退化模型来进行图像复原
图像复原两种方法:
1.盲复原方法:不需要先验知识,但其缺点是速度较慢,效果也不如
2.非盲复原方法:只要有正确的模型,就可在相对较短的时间内得到较好的效果,其缺点是建 立准确的模型通常是十分困难的,通常要依靠先验信息
模糊图像的一般退化模型

降质函数
- 线性
- 空间不变性,即与位置无关,只与当前值有关
图像退化模型:
注意点:

噪声模型
图像噪声:于图像数据中的不必要的或多余的干扰信息
常见噪声



注意点:由椒盐噪声污染的图像是唯一的引起退化的、视觉上能区分出来的噪声类型
周期噪声

一个纯正弦波的傅里叶变换是频谱图上的一对共轭脉冲。如果空间域中正弦波的振幅足够强,则会在图像的频谱中看到每个正弦波的一对冲激。因此,周期噪声可通过频率域滤波来降低噪声干扰
噪声参数估计:周期噪声参数可通过检测图像傅里叶频谱来估计,以推测出噪声成分的周期性
- 周期噪声趋向于产生频率尖峰,可以从频率谱上检测到
- 在图像上灰度平坦的区域获取一小部分灰度恒定的背景来估计PDF值
- 求出条带的傅里叶谱,再根据确定的概率分布类型及均值和方差建立噪声模型,估计出噪声的参数

空间域滤波
当仅有加性噪声存在时,可以选择空间滤波方法
均值滤波器


统计排序滤波器


自适应滤波器


频域滤波器
- 频带滤波器
- 陷波滤波器
- 最佳陷波滤波器
最佳陷波滤波器
- 提取干扰模式的主频率分量
在频谱的每个尖峰处放一个陷波带通滤波器
噪声为
空间域表示
复原图像估计值:
- 计算局部方差
考虑中心为
局部方差为:
假设
最终局部方差公式:
- 最佳陷波滤波器的复原公式
运动模糊图像复原的基本原理
运动模糊:由于相对运动造成图像模糊的现象

传感器不动,目标运动时,模糊方向与运动目标方向相反 传感器运动,目标不动时,模糊方向与传感器运动方向相同
解决方法:
- 减少曝光时间
- 建立运动图像的复原模型
匀速直线运动模糊的退化模型
匀速直线运动模糊图像的形成过程的表达式:
运动模糊图像的像素值是原图像相应像素值与其时间乘积的累加
二维平面运动,模糊图像:
表示为卷积形式:
典型模糊图像的点扩散函数





匀速直线运动的点扩散函数参数确定
基于频谱特征的模糊参数估计方法
对于
图像频谱图暗线的个数即为图像实际运动的距离


缺点:这种方法的缺点是受到噪声影响较大,当存在噪声时,对傅立叶频谱影响较大,通常很难辨认方向和尺度。因此在实际中这种方法并不适用
改进方法
利用退化图像频谱暗条纹间距和退化图像模糊长度之间的关系式来辨识退化图像模糊长度
称退化图像的图像中心与相邻的暗条纹之间的距离或两条紧邻暗条纹之间的距离为暗条纹间距
典型的运动模糊图像复原方法
逆滤波法(非约束还原)

注意点:
解决方式:
- 在原点有限的领域内计算,为避免小数值,选择一个低通滤波器
- 在
零点上不计算,或者修改 的值,避开频谱零点附近的值
结论:逆滤波对于没有被噪声污染的图像很有效,但是实际应用中,噪声通常无法计算,因此通常忽略加性噪声,而当噪声存在时,该算法就对噪声有放大作用,如果对一幅有噪声的图像进行恢复,噪声可能占据了整个恢复结果
维纳滤波(最小均方误差)

当
当
若没有噪声,

结论:随着k值不断减小,图像噪声越来越明显,但字符的轮廓越来越清晰。在极端情况下即k=0,维纳滤波退化为逆滤波。另一方面,当k值不断增大时,图像边缘越来越模糊
K的选取原则是:噪声大,则K适当增加,噪声小则K适当减小。一般取0.001一0.1之间,视具体情况而定
最大平滑复原法(有约束最小平方滤波)


图像复原质量评价
有参考图像质量评价



无参考图像质量评价
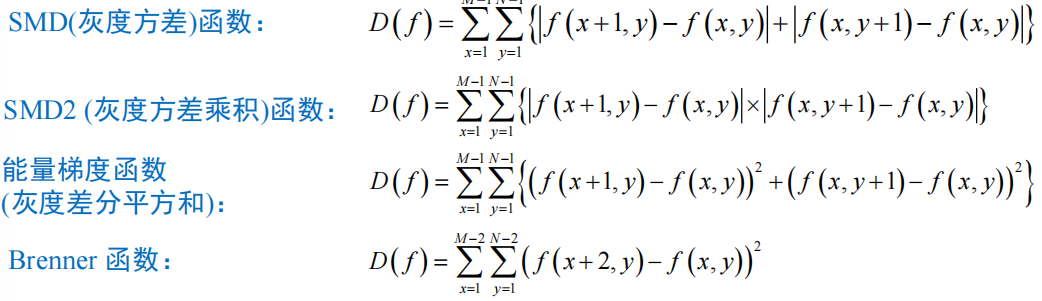
图像清晰度评价

灰度平均梯度值方法

拉普拉斯算子和方法

图像的特征描述与分析
灰度描述
幅度特征

直方图特征


边界描述
链码
链码是沿着轮廓记录边缘表的一种表示方法.链码规定了边缘表中每一个边缘点的轮廓方向,其中方向被量化为四邻点链码或八邻点链码

- 原链码:(平移不变性)
- 归一化码:按一个方向循环,使其构成的n为自然数最小(平移不变性、唯一性)
- 差分码:相邻两个方向数按反方向相减(后一个减去前一个),结果做模8运算(平移不变性、唯一性、旋转不变性)
注意点:非闭合曲线差分码要比原码少一位
最小周长多边形(MPP)近似边界

曲线拟合法

基本的边界描述子

傅里叶描述子



区域描述







纹理描述
纹理:图像纹理是像素灰度分布宏观上呈现周期性的结构特征。它是图像中某些结构单元按某种规则排列而成的规则图案,反映图像纹理基元灰度周期性重复变化的规律。把图像中这种局部不规则而宏观有规律的特性称之为纹理
- 周期性
- 方向性
- 疏密之分
纹理的基本特征:纹理基元的大小(或重复变化的周期长短)和重复构成的方向






图像分割
阈值分割
直方图法

最小误差阈值


最大方差阈值(大津阈值)
定义类间方差
求偏导可得 
优点:直方图有无双峰都能得到满意效果
缺点:非理想情况,各段的分界不明显
动态门限

边缘检测
边缘:图像中像素灰度有阶跃变化或屋顶变化的那些像素的集合,包含方向、阶跃性质、形状等

各种算子
- 一阶微分

二阶微分(Laplace)
优点:各向同性、线性和位移不变的;对细线和孤立点检测效果较好
缺点:对噪音的敏感,对噪声有双倍加强作用;不能检测出边的方向;常产生双像素的边缘


- Robert算子

- Sobel算子

- Prewitt算子

- Kirsch算子


- Marr-Hildreth算子(LoG算子)


- Canny算子



区域分析
图像分割:对于特征不连续的边缘检测,把图像分割成特征相同的互相不重叠连续区域的处理
区域生长: 将具有相似性质的像素集合起来构成区域

分裂合并

Hough变换



动态聚类分割
K均值聚类(K-means)


K均值聚类(K-means)分割

数字图像编码
数字图像特点
- 图像数据量大,为其存贮、传输带来困难,需压缩
- 占用的频带较宽
- 像素相关性大,压缩潜力大
- 评价受人的影响大
概述
- 数据冗余:将图像信息的描述方式改变之后,压缩掉这些冗余
- 主观视觉冗余:忽略一些视觉不太明显的微小差异,可以进行所谓的“有损”压缩
图像压缩编码的分类




压缩编码系统评价
客观评价系统




主观评价系统
- 基于压缩编码参数的基本评价

- 基于保真度准则的评价



预测编码
预测编码:邻近的M个值预测当前值,当前值与预测值之差量化编码(一维、二维、三维预测)
适用点:序列图像(动图)帧间相关性强

统计编码
统计编码:建立在图像统计特性基础上,根据信源的概率分布特性,分配不同长度的码字,降低平均码字长度,以提高传输速度,节省存储空间


Huffman编码


特点:
- 这种编码方法形成的码字是可辨别的,即一个码字不能成为另一码字的前缀
- 霍夫曼编码对不同的信源其编码效率不同,适合于对概率分布不均匀的信源编码
缺点:图像太大,码字多,反而加大数据量
解决方案:将图像分割成若干的小块,对每块进行独立的Huffman编码
变换编码

变换目的:使数据按照一定顺序排列,更具独立性,总能量保持不变
变换编码特性评价:

变换编码的特点与优势:
- 变换编码较非变换编码要复杂,但可以将空间域上没有表现出来的冗余可以提取出来
- 变换编码方式大多属于有损压缩方式
- 是将信号中的能量尽可能集中在少数几个系数上,对这几个变换系数进行量化和传输,这样图像压缩率有明显的提高。 在接受端进行反变化就可以得到重构图像
DCT编码压缩

变换系数的编码
区域编码
区域编码:区域编码就是选出能量集中的区域,对这个区域中的系数进行编码传送,而其他区域的系数可以舍弃不用

阈值编码
阈值编码:选取门限和量化过程可以通过一个量化矩阵结合在一起,大于阈值保留进行编码传输,常对系数采用游程编码

变换编码的特点和应用
子带( subband )编码(块状效应):先把一幅图像用不同的带通滤波器分成一系列图,然后对每个图都可用DPCM编码。即它通过把输入信号分解成多个窄带信号,解除或减弱它们之间的相关性,从而达到压缩码率的效果
优点:
- 某子带内的编码噪声(失真),在解码后只局限于该子带内,不会扩散到其它的子带
- 可根据主观视觉特性,将有限的数码率在各个子带内作合理的分配,即实行噪声频谱成形技术,有利于提高图像的主观视觉质量
小波变换

位平面编码
位平面分解

缺点:像素点灰度值的微小变化有可能对位平面的复杂度产生明显的影响
改进方案:

位平面编码

现代压缩技术
混合编码
- 行程编码:擅长于重复数字的压缩
- Huffman编码:擅长于像素个数的不同编码
- DCT变换:擅长将高频部分分离出来
数学形态学
数学形态学概述
利用一个结构元素(相当于模板)去探测一个图像,看是否能将这个结构元素很好地填放在图像的内部,同时验证填放结构元素的方法是否有效
通过对图像内适合放入结构元素的位置做标记,就可得到关于图像结构的信息。这些信息与结构元素的尺寸和形状都有关。构造不同的结构元素,便可完成不同的图像分析,得到不同的分析结果
数学形态学基本算法
基本概念



腐蚀与膨胀
- 腐蚀



- 膨胀

开、闭运算
- 开运算

- 闭运算

开、闭运算的滤波性质
开运算可以滤掉背景(并)噪声
闭运算可以滤掉前景(差)噪声
击中击不中变换



二值图像的形态学处理
基本概念


边界检测



条件膨胀



骨架化



分水岭算法
基本概念



实现方案

灰值形态学
灰值腐蚀



灰值膨胀


灰值开、闭运算

灰值形态学算法


分水岭算法

基于“浸没”模型的算法:在已知区域最小的前提下,在每个区域极小值影响的范围内,通过形态学厚化运算,逐渐扩展所影响的区域范围,最后得到分水岭线
缺点: 在计算的过程中,如果遇到下图中的情况,当同一区域呈环形时,就有可能产生错误的分水岭线A。并且这种算法的效率非常低,因为在每一次二值厚化的过程中,都必须将所有的像素扫描一次

通过灰度骨架计算分水岭:分水岭从一定程度上来说就是灰度骨架中的闭合曲线。灰度图像的骨架可以通过形态学细化运算来计算
缺点:算法的效率也是很低的;而且也会产生示意图中的错误,曲线A在修剪的过程中无法被剔除,产生虚假分水岭
vs算法
假设图像中所有的像素保存在一个简单的数组中,并且满足下面两个条件:
- 能够直接访问图像中任意像素
- 能够直接访问给定像素的邻居像素
只要满足了这两个条件,就有可能设计出高效的形态学算法


过分割问题
由于图像中通常存在噪声和局部的不规则性,局部极小值的个数会大于实际的目标对象,这也就造成了大量的虚假轮廓,干扰了实际轮廓的识别
基于标记的分水岭算法

关键技术:
梯度算子的选择
种子点的选取

无标记点分水岭算法

- 基于图论的方法
- 基于区域特性的方法
- 标题: 数字图像处理
- 作者: yjy12lcp
- 创建于: 2023-10-17 10:44:01
- 更新于: 2023-12-12 17:21:37
- 链接: https://yjy12lcp.cn/2023/10/17/数字图像处理/
- 版权声明: 本文章采用 CC BY-NC-SA 4.0 进行许可。
















